本文摘自最新齿轮设计标准:GB/T3480-1996,从可靠性理论和安全系数的角度,对齿轮啮合的齿面接触强度核算、齿轮弯曲强度核算和齿轮静强度的核算进行了详细分析。同时对多级齿轮传动系统的方案设计的选择原则、多级传动系统中传动比的分配方法等进行了研究。
3.1减速机产品整体设计
减速机,作为一个完整的传动系统,其设计包括:齿轮设计,传动轴设计,轴承设计,机箱设计以及连轴器设计,如图3-1所示。

在图3-1中,传动轴设计依赖于传动功率、传动转速以及齿轮设计;轴承设计依赖于齿轮设计、传动功率、传动转速以及传动轴设计;机箱设计依赖于齿轮设计和传动轴设计;连轴器设计传动轴设计和传动功率。
由此可以看出,齿轮设计是整个设计中最关键、最复杂的部分,只要齿轮设计完毕,其它零件设计🅠可以通过系列化产品直接进行选择。齿轮设计的好坏将最终决定减速机设计的水平。
3.2齿轮设计
齿轮的设计分为二大步:1、各分传动系统的传动比的分配。2、齿轮啮合的设计。
传动系统的传动比的分配是个优化的过程,一个适宜的传动比能协调各分传动系统的传动效果,达到资源利用最合理化。
齿轮啮合的设计的强度核算包括齿面接触强度核算和齿根弯曲强度核算。其核心思想是要求受🍒力强度最大的部位满足强度核算。
强度核算的过程如图3-2所示:

用户参数:
a、电机功率
b、电机转速
c、输出转速
d、载荷状态
e、安全系数
f、小齿轮的支撑位置
g、搅拌料的状态
h、齿轮的工作寿命
齿轮特性参数:
a、齿轮的材料
b、齿轮的精度
c、齿轮的齿数
d、齿轮的类型
齿轮设计参数:
a、修正载荷系数(KA、Kv、KHβ、KFβ、KHa、KFa)
b、修正计算应力的系数(ZH、ZE、Zε、Zβ、Zβ、ZD、YF、Ys、Yε、Yβ)
c、轮齿疲劳强度及其修正系数(ZNT、YNT、ZL、Zv、ZR、Zx、Yx、Yδreit、YRreIT)在这三类参数中,用户参数是要由用户给定,齿轮特性参数是要得到的结果,齿轮设计参数是一种🎶中间描述参数,它需要通过一系列的复杂的计算求解,而齿轮设计的科学性也就是通过对齿轮设计参数的精确确定而实现的,具体计算机实现公式见3.6-3.8;齿轮的接触强度与弯曲强度校核分别见3.3和3.4。系统的参🎃数初始输入界面见图3-3。

3.3齿面接触强度核算
国标GB/T3480-1996把赫兹应力作为齿面接触应力的计算基础,并用来评价接触强度。赫兹应力是齿面间应力的主要指标,但不是产生点蚀的唯一原因。例如在应力计算中未考虑滑动的大小和方向、摩擦系数及润滑状态等,这些都会影响齿面的实际接触应力。
齿面接触强度核算时,取节点和单对齿啮合区内界点的接触应力中的较大值,小轮和大轮的许用接触应力σHP要分别计算。下列公式适用于端面重合度εa<2.5的齿轮副。
1、强度条件
大、小轮在节点和单对齿啮合区内界点处的计算接触应力中的较大值σH,均应不大于其相应的许用接触应力σHP,即:
σH≤σHP (1)
2、计算接触应力σH
小轮和大轮的计算接触应力σH1、σH2分别按下述两式确定:

上述两式中:KA——使用系数
Kv一一动载系数
KHβ一一接触强度计算的齿向载荷分布系数
KHa一一接触强度计算的齿间载荷分配系数
ZB、ZD一一小轮及大轮单对齿啮合系数
节点处计算接触应力的基本值,N/mm2,用下式计算:

式中:F1一一端面内分度圆上的名义切向力
b一一工作齿宽,mm,指一对齿轮中的较小齿宽;
dl——小齿轮分度圆直径,mm;
u一一齿数比,u=Z2/Z1,Z1,Z2分别为小轮和大轮的齿数;
ZH一一节点区域系数
ZE一一弹性系数
Zε一一重合度系数
Zβ一一螺旋角系数
式(4)中的“+”号用于外啮合传动;“一”号用于内啮合传动。
3、许用接触应力σHP

上式中,σHc一一计算齿轮的接触极限应力,N/mm2
σH1im一一试验齿轮的接触疲劳极限,N/mm2
ZNT一一接触强度计算的寿命系数
ZL一一润滑剂系数
ZV一一速度系数
ZR一一粗糙度系数
ZW一一工作硬化系数
ZX一一接触强度计算的尺寸系数
3.4轮齿弯曲强度核算
本标准的轮齿弯曲强度计算式适用于齿根以内轮缘厚度不小于3.5m的圆柱齿轮。对于不符合前述条件的薄轮缘齿轮,应作进一步应力分析、实验或根据经验娄据确定其齿根应力的增大率。
l、强度条件
计算齿根应力σF应不大于许用齿根应力σFP,即:
σF≤σFP (7)
2、计算齿根应力σF
计算齿根应力σF由下式确定:
σF=σF0KAKVKFβKFa (8)
式口:KFβ一一弯曲强度计算的齿向载荷分布在系数
KFa一一弯曲强度计算的齿间载荷分配系数
σFO一一齿根应力的基本值,N/mm2,对于大、小齿轮应分别确定。
以单对齿啮合区外界点为基础进行计算的。齿根应力基本值可按下式确定:

式中:Ft——端面内分度圆上的名义切向力,N;
b-一工作齿宽(齿根圆处),mm。若大、小齿轮宽度不同时,最😼多把窄齿轮的齿宽加上一个模数作为宽齿轮的工作齿宽;对于双斜齿或人字齿轮b=bB×2,bB为单个斜齿轮宽度;如💎有齿端修薄或鼓形修整,b应取比实际齿宽较小的值;
mn一一法向模数,mm
YF一一载荷作用于单对齿啮合区外界点时的齿形系数
YS一一载荷作用于单对齿啮合区外界点时的应力修正系数
Yβ一一螺旋角系数
3、许用齿根应力σFP
大、小齿轮的许用齿根应力要分别确定。在采用以试验齿轮的强度为依据所得到的数据时,
其许用齿根应力可按下式确定:

式中:σFG一一计算齿轮的弯曲极限应力,N/mm2;
σFlim一一试验齿轮的齿根弯曲疲劳极限,N/mm2
YST一一试验齿轮的应力修正系数,
YNT一一弯曲强度计算的寿命系数
SFmin一一弯曲强度的最小安全系数
YrelT一一相对齿根圆角敏感系数
YRrelY一一相对齿根表面状况系数
YX——弯曲强度计算的尺寸系数
3.5名义切向力Ft
一般齿轮传动的名义切向力由齿轮传递的名义功率或转矩确定。名义切向力作用于端面内并切于分度圆,可按下式计算:
Ft=

(12)
式中:Ft一名义切向力,N;
d一齿轮分度圆直径,mm;
T一名义转矩,N.m。
当传递的

名义功率P以KW计时,
T=9549· (13)
当传递的名义功率P以PS计时,
T=7024
·

(14)
n—齿轮转速,r/min。
3.6修正载荷系数
1、使用系数KA
使用系数KA是考虑由于齿轮啮合外部因索引起附加动载荷影响的系数。这种外部附加动载荷取决于原动机和从动机的特性、轴和联轴器系统的质量和刚度以及运行状态。取值如下表:
表1 使用系数KA
原动机工作特性 | 工作机工作特性 | |||
均匀平稳 | 轻微冲击 | 中等冲击 | 严重冲击 | |
均匀平稳 | 1.00 | 1.25 | 1.50 | 1.75 |
轻微冲击 | 1.10 | 1.35 | 1.60 | 1.82 |
中等冲击 | 1.25 | 1.50 | 1.75 | 2.0 |
严重冲击 | 1.50 | 1.75 | 2.0 | 2.25或更大 |
注:1对于增速传动,根据经验建议取上表值的1.1倍。 2当外部机械与齿轮装置之不理之间挠性联接时,通常KA值可适当减小。 | ||||
2、动载系数KV
动载系数KV
是考虑齿轮制造精度、运转速度对轮齿内部附加动载荷影响的系数,定义为:

KV=
a、高精度齿轮
传动精度系数C<5🍒的高精度🐻齿轮,在良好的安装和对中精度以及合适的润滑条件下,KVr的值取1.1。
b、其他齿轮
其他齿轮的符合下述条件时,KV值可由式(22)计算。适用的重要依据是:
(1)法向模数mn=1.25~50mm
(2)齿数z=6至120(当mn>8.33mm时,用

取代1200)
(3)传动精度系数C=6~12,C的计算见式(25)
(4)齿轮节线速度V不超过VmaX

式(15)中:
A=50+56(1.0-B) (17)
B=0.25(C-0.5)0.667 (18)
C=-0.50481n(z)-1.1441n(mn)+2.8521n(fpt)+0.32 (19)
式(19)计算的C值应作圆整,C=6~12;
Z——大、小轮中计得得C值大者的齿数;
mn——法向模数的值;
fpt——大、小轮中最大的单个齿距偏差的值。
3、齿向载荷分布系数KHβ,KFβ
a、KHβ的定义
齿向载荷分布系数KHβ是考虑沿齿宽方向载荷分布不均匀对齿面接触应力影响的系数,其定义为:

式中:Wmax——单位齿宽最大载荷,N/mm;
Wm——单位齿宽平均载荷,N/mm;
Fm——圆上平均计算切向力,N。Fm=FtKAKV

式中:b——齿宽,mm。对人字齿传输线或双斜齿轮,应取两个斜齿轮宽度之和。
b、KFβ的计算公式
齿向载分布系数KFβ是考虑沿 宽载荷分布对齿根弯曲应力的影响。对于所有的ꩵ实际应用范围,KFβ可按下式计算:
KFβ=(KHβ)N (22)
式中:KHβ接触强度计算的齿向虎荷分布系数
N——幂指数。

其中:b——齿宽,mm。对人字齿或及双斜齿齿轮,用单个斜齿轮的函宽;
h——齿高,mm。
b/h应取大小齿轮中的小值。
4、齿间载荷分配系数KHa、KFa
齿间载荷分配系数是考虑同时啮合的各对轮齿间载荷分配不均匀影响的系数。齿间载荷分配系数按下式确定。

3.7修正计算应力的系数
1、计算接触应力的系数
a、节点区域系数ZH
节点区域系数ZౠH是考虑节点处齿廓曲率对接𓆏触应力的影响,并将分度圆上切向力折算为节圆上法向力的系数。ZH数值可由式(26)计算得出。

b、弹性系数ZE
弹性系数ZE是用以考虑霉烂弹性模量E和泊桑比v对赫兹应力的影响。其数值可按实际材料弹性模量E和泊桑比v由式(30)计算得出。

c、重合度系数Zε
重合度系数Zε是用以考虑重合度对单位齿宽载荷的影响。Zε可由式(33)、(34)、(35)计算得出。
直齿轮:

斜齿轮:

εa计算式中,符号“±”和“+”,上面的用于外啮合传动,下面的用于内啮合传动;
εβ计算式中,当大小齿轮𝄹的齿宽b不一样时,采用其中较小值。对人字齿,b=2bB,bB为单个斜齿宽度。
d、螺旋角系数Zβ
螺旋角系数Zβ是考虑螺旋角造成的接触线倾斜对接触应力影响的的系数。Zβ数值可由式

(38)计算。
Zβ= (38)
e、单对齿啮合系数ZB、ZD
ZB是把节点处的接触应力折算到小轮单对啮合区内界点处的接触应力的系数;ZD则是把节点处的接触应力折算到♔大轮单对齿啮合区内界点处的接触应🔴力的系灵敏。ZB和ZD可由下述的计算得到:
端面重合度εa<2的外啮合齿轮

式中da1(da2)、db1(d♐b2)、Z1(✅Z2)分别为小轮(大轮)的齿顶圆,基圆直径和齿数;a1为端面分度圆啮合角,见式(29),εa为端面重合度,见式(36)。
直齿轮:
当M1>1时,Za=M1;当M1≤1时,ZB=l。
当M2>1时,ZD=M2;当M2≤l时,ZD=1。
斜齿轮:
当纵向重合度εβ≥1.0时,ZB=1,ZD=1。
当纵向重合度εβ<1.0,ZB,ZD由式(41),式(42)确定。
ZB=M1-εβ(M2-1) (4l)
当ZB<1时,取ZB=l
当ZD<1时,取ZD=1
ZD=M2-εβ(M2-1) (42)
对内啮合齿轮,取ZB=1,ZD=1。
2、计算弯曲应力的系数
a、齿形系数YF和应力修正系数Ys
断形系数是用以考虑齿形对名义弯曲应力的影响,以过齿廓根部左右两过渡曲线与30°切线相切点的截面作为危险截面进行计算。
应力修正系数是将名义弯曲应力换算成齿根局部应力的系数。它考虑了齿根过渡曲线处的应力集中效应,以及弯曲应力以外的其他应力对齿根应力的影响。应力修正系数不仅取决于齿根过渡曲线的曲率,还和载荷作用点的位置有关。
b、弯曲强度计算的重合度系数Yε
重合度系数Yε是将载荷由齿顶转换到单对齿啮合区外界点的系数。
Yε
的计算见

下式:
Yε=0.25+ (43)
式中


-
当量齿轮的端面重合度。

=
/cos2βb (44)
c、弯曲强度计算的螺旋角系数Yβ
螺旋角系数Yβ是考虑螺旋角造成的接触线倾斜对齿根🎶应力产生影响的系꧑数。其数值可以通过式(45)和(46)计算。

上式中,当εβ>1,取εβ=1,当Yβ🥂>0.75,取Yβ=0.75;当β>30°时,取β=30°。
3.8轮齿疲劳强度及其修正系数
1、试验齿轮的疲劳极限σHlim、σFlim
σHlim和σFlim是指某种材料的齿轮ꦡ经长期持续的重复载荷作用后轮齿保持不失效时的极限应力。其主要影响因素有:材料成分,力ﷺ学性能,热处理及硬化层浓度、硬度梯度,结构(锻、轧、铸),残余应力,材料的纯度和缺陷等。
σHlim是指某种材料的齿轮经长期持续的重复载荷作用(对大多数材料其应力循环数为5×10)后,齿面不出现进展性点蚀时的极限应力。
σF1im是指某种材料的齿轮经长期的重复载荷作用(对大多数材料其应力循环数为3×l06)后,齿根保持不破坏时的极限应力。
2、寿命系数ZNT,YNT
寿命系数ZNT和YNT分别考虑齿轮寿命小于或大于持久寿命条件循环次数Nc时,其可随的接触应力和弯曲应力值与其相应的条件循环次数Nc时疲劳极限应力的比例的系数。
3、润滑油膜影响系数ZL、ZV、ZR
确定润滑油膜影响系数数值的理想方法是总结现场使用经验或用具有可类比的尺寸、材料、润滑剂及运行条件的齿轮箱实验。当采用与设计的齿轮完全相同的参数、材料和条件实验决定其承载能力或寿命系数时,应取润滑油膜影响系数ZL、ZV、ZR的值均等于l.0。
对持久🦂强度设计,ZL、ZV、ZR可由公式(53)、(55)、(57)分别计算。对静强度,取ZL=Z🦂V=ZR的值均等于1.0。
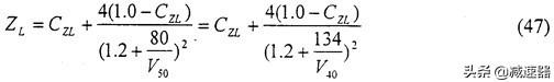
a、润滑剂系数ZL

其中,在850N/mm2≤σH1im≤1♊200N/mm2范围内,CZL可由式(47)算得。当σH1im<850N/mm2时取CZL=0.83;当σHlim>1200N/mm2时取CZL🍸=0.91

V50-在50℃时润滑油的名义运动粘度,mm2/s(cSt)
V40-在40℃时润滑油的名义运动精度,mm2/s(cSt)
式(47)、(48)在应用某些具有较小磨擦系数的合成油时,对于渗碳钢齿轮ZL应乘以系数1.1,对于调质钢齿轮应乘以系数1.4。
ZL对静强度几乎没有影响,因此静强度计算时可取ZL=1.0。
b、速度系数ZV

其中,在850N/mm2≤σHlim≤1200N/mm2范围内,CZL可由式(50)算得。当σHlim<850N/mm2时以850N/mm2时以850N/m🦹m2时以850N/mm2计,当σHlim>1200N/mm2计。
CZV=0.85+0.08

(50)
v-节点线速度
ZV对静强度几乎没有影响,因此静强度计算时可取ZV=1.0
b、粗糙度系数ZR
当所计算的齿轮要求持久寿命时,ZR可由式(51)计算得出,

式中:ꦫCZR系数。当时σH1im<850N/mm2时,CZR=0.15;当σHlim >1200N/mm2时,CZR=0.08在850N/mm2≤σHlim ≤1200N/mm2范围内,CZR可由式(52)算得。
CZR=0.32-0.0002σHlim (52)
RZ10-相对(峰一谷)平均粗糙度。

RZ1,RZ2一小齿轮及大齿轮的齿面微观不平度10点高度,μm
pred一节点处诱导曲率半径,mm;pred=p1p2/(p1♛±p2)。式中“+”用于外啮合,“一”用于内啮合,p1,p2分别为☂小轮及大轮节点处曲率半径。
ZR对静强度几乎没有影响,因此静强度计算时可取ZR=1.0
d
、齿面工作硬化系数ZW
工作硬化系数ZW是用以考虑经光整加工的硬齿面小齿轮在运转过程中对调质纲大齿轮齿面产生冷作硬化,从而使大齿轮的许用♑接触应力得以提高的系数。齿面取载能力的提高还和其它许多因素有关,如材料中的合金元素、赫兹应力、硬化过程、表面粗糙度等。ZW值可由式(54)计算得出。此公式的使用条件为ꦍ:小齿轮齿面微观不平度10点高度
RZ<

6
μm,大齿轮齿面硬度为130~470HB。
ZW=1.2- (54)
式中HB为大轮齿面布氏硬度值。
当HB<130时,取ZW=1.2;当HB>470时,取ZW=1.0。
e、尺寸系数ZX、YX
尺寸系数ZX和YX是考虑因尺寸增大使材料强度降低的尺寸效应因素,分别月于接触强度和弯曲强度计算。确定尺寸系数最理想的方法是通过实验或经验总结。当用与设计齿轮完全相同尺寸、材料和工艺的齿轮进行实验得到齿面承载能力或寿命系数时,应取ZX或YX值为1.0。静强度(NL≥NO)的ZX=YX=1.0。
6、相对齿根圆角敏感系数Yσreit
相对齿根圆角敏感系数Yσreit是考虑所计算齿轮的材料、几何尺寸等对齿根应力的敏感度与试验齿轮不同而引进的系数。定义为所计算齿轮的齿根圆角敏感系数与试验齿轮的齿根圆角敏感系数的比值。
持久寿命时的相对齿根圆角敏感系数Yσreit可按式(55)计算得出。

式中:p’一材料滑移层厚度
Xm
一

齿根危险截面处的应力梯度与最大应力的比值。其值可由下式确定:
Xm≈(1+2qs) (56)
qs一齿根圆角参数

一试验齿轮齿根危险截机处的应力梯度与最大应力的比值,仍可用♊上式计算,式中qs取为qst=2.5此式适用于M=5m𒆙m,其尺寸的影响用YX来考虑。
7、相对齿根表面状况系数YRrelT
相对齿根表面状况系数YRrelT为所计算齿轮的齿根表面⭕状况系数与试验齿轮的齿根表面状况系数的比值。持久寿命时的相对齿根表面状况系数YRrelT可按可见参考资料1相应图表中查出。
3.9多级齿轮传动的设计
1、多级齿轮传动系统的方案设计
减速机的方案设计就是根据设计要素(传输功率,传动比,工作状况、输出转速和输出方向),对减速机的型号进行选择。
一般原则如下:
(一)输出轴的方向是水平方向,选用卧式减速机。
(二)传动比很大,选用多级减速机或蜗轮蜗杆减速机,但前者较便宜。
(三)工作状况要求高的(例如振动和噪音等),优先选用斜齿轮传动。
(四)如果传动比特别大,输出转速很小,可选用行星齿轮传动
(五)如果齿轮材料不是很好,可以选用斜齿轮传动。
2、减速器传动比的分配
在设计一级或多级减速器时,合理地将传动比分配到各级非常重要。因它直接影响减速器的尺寸、重量、润滑方式和维护等。
分配传动比的基本原则是:
(一)使各级传动的承载能力接近相等(一般指齿面接触强度)。
(二)使各级传动的大齿轮浸入油中的深度大致相等,以使润滑简便。
(三)使减速器获得最小的外形尺寸和重量。
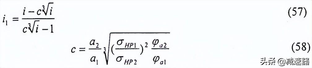
a、二级圆柱齿轮减速器按齿面接触强度相等及较有利的润滑条件,可按下面关系分配传动比,高速级的传动🎶比i1为

式中i—总传动比
a1、a2—高速级、低速级齿轮传动的中心距
σHP1、σHP2—高速级、低速级齿轮接触强度的许用应力

—高速级、低速级齿轮的齿宽系数
二级卧式圆柱齿轮 减速器,按高速级和低速级的大齿轮浸入油中的深度大致相等的原则,传动比的分配,可按下述经验数据𝔍和经验公式进行:
对于展开式和分流式减速器,由于中心距al<a2,所以常使i1>i2。
对于同轴式减速器,由于a1=a2,所以常使i1=i2,或按下式计算,使浸油深度相等。
i1=

(0.01-0.05)i (59)
b、二级圆锥一圆柱齿轮减速器对这种减速器的传动比进行分配时,要尽量避免圆锥齿轮尺寸过大、制造困难,因而高速级圆锥齿轮的传动比i1不宜太大,通常取11=0.25i,最好使i1≤3。当要求二级传动大齿轮的浸油深度大致相等时,也可取i1=3.5-4。
c、二级涡轮减速器这类减速器,为满足a1≈a2/2的要求,使高速级꧅和低速级传动浸油深度大致相等,通常取i1=i2=

。
3、多级传动减速器的设计
依据上一节,得到各级的传动比ia(a=1,2,3一般只用到三级传动),再根据第二章的齿轮对的啮合的设计与校核,设计每一级的齿轮对,需要注意下面几个问题:
(1)尽管齿轮传动的效率很高,但是在设计时,要考虑到它的损耗。
(2�♒�)设计每一级的齿轮对后,再从总的角度,各级齿轮的受力强度是否大致相同,一般允许偏差为5%,否则要重新设计,多次迭代,选择最优值。
(3)对于斜齿轮、锥齿轮、涡轮蜗杆的设计,判断轴的受力是否合理,如何正确布置它们的位置。
3.10齿轮设计实例
用户参数:
电机功率:40KW
电机转速:1500r/min
输出转速:100r/min
载荷状态:均匀平稳
安全系数:弯曲强度安全系数-1.1;接触强度安全系数-1.4
小齿轮的支撑位置:不对称布置
搅拌料的状态:均匀密度
齿轮的工作寿命:10年*300天*2班*8小对
选用传动方式:斜齿轮二级减速传动。
粗选齿轮特性参数:
材料:小齿轮-3OCrMOA1A调质后氮化;大齿轮一42CrMo调质后氮化
精度:8级精度
齿轮类型:螺旋角为11.48°的调质斜齿轮
初步选择小齿轮的齿数:一级传动-14;二级传动-16
设计校核后的结果:
一级传动:
传动比:3.68;模数:5
小齿轮齿数:14;节圆半径:81.63mm;变位系数:0.13;齿宽:95mm
大齿轮齿数:59;节圆半径:301.0mm;变位系数:O;齿宽:90mm
理论中心距:191.3mm;实际中心距:192mm
小齿轮齿根弯曲强度(Mpa):实际67.78<许用574.39 合格
小齿轮齿面接触强度(Mpa):实际588.12<许用634.87 合格
大齿轮齿根弯曲强度(Mpa):实际55.43<许用647.03 合格
大齿轮齿面接触强度(Mpa):实际588.12<许用646.99 合格
二级传动:
传动比:4.07;模数:8
小齿轮齿数:15;节圆半径:122.4mm;变位系数:0.22;齿宽:140mm
大齿轮齿数:61;节圆半径:497.9.0mm;变位系数:O;齿宽:135mm
理论中心距:310.2mm:实际中心距:312mm
小齿轮齿根弯曲强度(Mpa):实际67.78<许用574.39 合格
小齿轮齿面接触强度(Mpa):实际588.12<许用634.87 合格
大齿轮齿根弯曲强度(Mpa):实际55.43<许用647.03 合格
大齿轮齿面接触强度(Mpa):实际585.12<许用646.99 合格
一级齿轮的最大接触强度:588.12Mpa;二级齿轮的最大接触强度:589.4Mpa
(589.4-588.12)/588.12=0.0022<0.05 设计正确合理。
实现界面见图3-4。

在系列化产品CAD系统中,完成了设计计算后,将设计计算的结果传送到智能化CAD系统中,利用CAD参数化功🔴能,快速实现工程图线的绘。
好了,这篇文章的内容发货联盟就和大家分享到这里,如果大家网络推广引流创业感兴趣,可以添加微信:80709525 备注:发货联盟引流学习; 我拉你进直播课程学习群,每周135晚上都是有实战干货的推广引流技术课程免费分享!