历史爱好者都知道民国时期的军阀张宗昌(生卒:1881-1932),就是这哥们:

张宗昌:你们高兴就好,我无所谓,反正破罐子破摔
民间传说,他有很多脍炙人口的歪诗,例如:
《俺也写个大风歌》
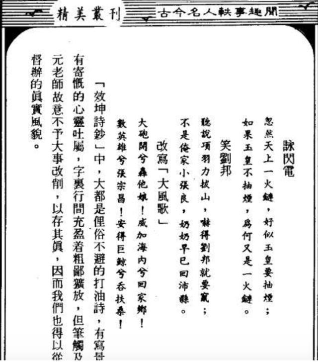
大炮开兮轰他娘
威加海内兮回家乡
数英雄兮张宗昌
安得巨鲸兮吞扶桑
《无题》
要问女人有几何
俺也不知多少个
昨天一孩喊俺爹
不知他娘是哪个
《笑刘邦》
听说项羽力拔山
吓得刘邦就要窜
不是俺家小张良
奶奶早已回沛县
《游趵突泉》
趵突泉,泉趵突
三个眼子一般粗
三股水,光咕嘟
咕嘟咕嘟光咕嘟
《求雨》
玉皇爷爷也姓张
为啥为难俺张宗昌
三天之内不下雨
先扒龙皇庙
再用大炮轰你娘
《混蛋诗》
你叫我去这样干
他叫我去那样干
真是一群大混蛋
全都混你妈的蛋
《游西方》
早听西方好
他妈真不孬
本想多玩玩
睁眼却没了
《游蓬莱阁》
好个蓬莱阁
他妈真不错
靠窗摆下酒
对海唱高歌
来来猜几拳
舅子怕喝多
《游泰山》
远看泰山黑糊糊
上头细来下头粗
如把泰山倒过来
下头细来上头粗
《天上闪电》
忽见天上一火链
好像玉皇要抽烟
如果玉皇不抽烟
为何又是一火链
可问题是:张宗昌的这些歪诗,真是他写的吗?
答案是:张宗昌的这些歪诗,源自于1985年台湾出版的一本地摊文学《张宗昌的传奇》,作者叫戚宜君。张宗昌的这些歪诗,在民国的正经史料里,没有任何相关记录。


张宗昌的歪诗,出处是这本台湾地摊文学
说得更清楚一些:所谓张宗昌的这些歪诗,没有史料依据。
目前正经历史学者都认为:这些歪诗不是张宗昌写的,只是因为张宗昌在民国时期,是国民革命的公敌,此君名声太臭,所以在过去这七八十年以来,海峡两岸的文人都喜欢拿张宗昌开玩笑,并且,编造了很多歪诗🐼,当屎盆子,全都扣在张宗昌的头上,反正,嘲笑张宗昌政治正确,老百姓喜闻乐见。
好,既然这些诗不是张宗昌写的,那么它们又是谁写的呢?
答案是:有相当一部分,是文人抄袭清代小说的歪诗,然后扣到张宗昌的头上。

张宗昌:把屎盆子都扣我头上来吧,只要你高兴就好
真相一:举例说张宗昌的这首《天上闪电》,它其实是出自于1828年的一本清代小说《涂说》,这本书的作者叫缪艮,书中有一首诗叫《电诗》:
黑云团团堆上天
想是天公要吃烟
何以知其要吃烟
一闪一闪打火链
这首源自于清代小说的歪诗,不知道被谁稍微改动一下,然后冠在张宗昌的名下,变成了所谓的张宗昌歪诗《天上闪♔电》:
忽见天上一火链
好像玉皇要抽烟
如果玉皇不抽烟
为何又是一火链

清代小说《涂说》截图,所谓张宗昌歪诗的出处
真相二:又例如说所谓张宗昌的《游泰山》,其实出自于清代古籍《清车王府藏戏曲全编》,其中有一首诗是这样的:
远观宝塔尖又尖
近看宝塔圆又圆
有朝一日掉个过儿
上头圆来底下尖
然后,这首清代的歪诗,不知道被谁,篡改了一下,冠以张宗昌的名字,变成了所谓的张宗昌歪诗《游泰山》:
远看泰山黑糊糊
上头细来下头粗
如把泰山倒过来
下头细来上头粗

清代《清车王府藏戏曲全编》现代再版截图,所谓张宗昌歪诗的出处
真相三:张宗昌的其他“歪诗”,参考上述两个例子,来路大同小异,不一一列举,总之,有的是抄袭清代小说,有的是民国文人或者台湾文人瞎编,然后扣到张宗昌头上。
真相四:事实上张宗昌的这些歪诗,在民国档案、报纸、史料里都找不到踪影,这些歪诗的出处,是1985年6月台湾精美出版社出版的一本地摊文学《张宗昌的传奇》,作者叫戚宜君,需要注意的是:这是一本地摊文学,是民间谣言的集大成者,不是正经的历史研究读物,ജ不足为信。
除此之外,《武汉文史资料》2007年第4期,收录了张宗昌的女儿张端(又名张春绥)的一篇《我的父亲张宗昌》,在这篇文章里,张宗昌的女儿声明:社会上流传的种种张宗昌“歪诗”,不是她父亲写的。
张端说,父亲张宗昌文化水平极低,平时连电报都需要人读给他听,张宗昌不爱附庸风雅,也没有写诗的习惯。
她还说:张宗昌在世🍸的时候,发表过一些正经的祝寿诗、悼词、挽联之类,都是秘书刘怀周代笔的,总之,女儿张端的证词是:父亲张宗昌确实是个粗人,但是,流传的那些“歪诗”,真不是他写的。

张宗昌:那些歪诗是我写的?随便,爱谁谁
张端虽然是张宗昌的女儿,有护短之嫌,但她的说法,和后人的考证吻合:这些歪诗源自于198🐈🏅5年台湾出版的地摊文学《张宗昌的传奇》,在民国史料里,找不到任何记录。
在清末民国时期,张宗昌、韩复榘、慈禧太后这一类名声不好的人,很容易被文人拿来当作取笑的对象,而为了取笑他们,民国时期乃至后来的文人,就会无所不用其极,编造🅠很多的荒诞言论,全部扣到他们的头上,例如韩复榘喜欢胡乱判案,慈禧太后说过“宁赠友邦,不与家奴”等ܫ,都是假的,反正,取笑这些政治不正确的人不但没有风险,而且能获得流量(例如书籍销量),何乐而不为。
事实上在民国时期早就有了“咒骂嘲笑张宗昌”的风气,下面两个图,就是民国时期流行的贬损张宗昌的民谣:


民国时期流行的贬损张宗昌的民谣
张宗昌与“国民革命”为敌,遭到全国人民的讨厌,那么有无聊文人造出一些歪𝕴诗,扣到他头上,也就不奇怪了。
好了,这篇文章的内容发货联盟就和大家分享到这里,如果大家网络推广引流创业感兴趣,可以添加微信:80709525 备注:发货联盟引流学习; 我拉你进直播课程学习群,每周135晚上都是有实战干货的推广引流技术课程免费分享!